

(both above are from Wikipedia.org)
Here's how I'd say the first one:
The absolute value of S minus the sum from 1 to n of f of t sub i times delta sub i is less than epsilon.

Key:
(1) The absolute value of
(2) S minus
(3) the sum from 1 to n of
(4) f of t sub i
(5) times delta sub i
(6) is less than epsilon
Note: Some mathematical expressions can be read aloud in more than one way. For example, someone might say:
- The absolute value of the difference between S and
- the sum from i equals one through i equals n of
- the function f evaluated at t sub i times the width of each i
- is less than epsilon.
If it is clear that i and n are one-indexed, then "the sum from i equals one through i equals n" can be replaced by "the sum of the first n terms". "The width of each i" is an interpretation of "delta i".
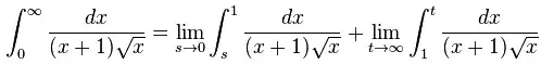
- The function is one divided by the quantity x plus one close quantity, all divided by the square root of x.
- The integral from zero to infinity of the function d x
- equals the limit as s goes to zero of the integral from s to 1 of the function d x
- plus the limit as t goes to infinity of the integral from 1 to t of the function d x.
"Goes to" can be replaced by "goes toward", or (as Damkeng suggests) "tends to", or (as J.R. suggests) "approaches".
I often use a notation like "integral from x equals a to x equals b" instead of "integral from a to b". I also often say "to positive infinity" instead of "to infinity".
I "factored out" the definition of the function in the first sentence. If the function were easy to say (such as "x squared"), I would not "factor out" the definition of the function. Instead, I would include the "x squared" in the statements of the integrals, a la Damkeng's answer.
Although not a direct answer to your question, here are a few references on how to read mathematical symbols and expressions. As a non-native English speaker who has to read mathematical formulae, I've found them pretty useful.

Absolute value of s minus sum i equals one to n, of f of t i times delta i, is less than epsilon.

Integral from zero to infinity of dx by x plus one times square root of x is equal to the limit of integral from s to one of dx by x plus one times square root of x as s tends to zero plus the limit of integral from one to t of dx by x plus one times square root of x as t tends to infinity.
Please note that this is a casual reading. It's practically impossible to avoid ambiguity when reading mathematical expressions aloud. We might try to add more words such as "left parenthesis", "right parenthesis", and so on, but that wouldn't help much. There are several possible alternatives, but this is how I normally read them.
The simple answer is "you don't". Complex mathematical expressions like those become ambiguous when read out loud because you lose a lot of the structure. If you ever need to communicate the expression exactly, you'd write it down and point to it.
The only exception I can think of is if you were dictating something over the telephone, for example because you were working on a paper with somebody and you were trying to point out a mistake. Then, you'd read out literally every symbol. (Or just the part with the mistake, e.g., "The sum should be from i equals 0 to n minus 1, not 1 to n.")
As a mathematician, a physicist and a uni lecturer, I would read the two expressions above as follows:
(1) the absolute value of S minus the sum of "f at t sub i" times "delta sub i", where i changes from 1 to n, is less than epsilon.
(2) the x integral from zero to infinity of the function "1 over '(x plus 1) times (square root of x)' " is equal to the limit of x integral from s to 1 of the function as s tends to zero, plus the limit of x integral from 1 to t of the function as t tends to infinity.
At a class, you point to the relevant positions of the expressions while you read them. Note that clarity and simplicity in statements are important in teaching.